杨瀚森全明星票数揭晓!获10.4万票排名第36媒体和球员票均为零
- 发布于:2026-01-20 04:26:00
- 来源:nba直播吧
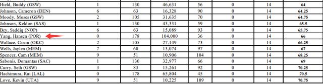
北京时间1月20日,北京时间1月20日,NBA官方公布了2026年全明星赛的首发阵容。西部首发是亚历山大、约基奇、东契奇、文班亚马和库里,东部首发是字母哥、坎宁安、布伦森、马克西和杰伦-布朗。随后,NBA官方公布了具体票数。东契奇得到3402967票,成为票王。杨瀚森得到104000票,在球迷投票部分,排名联盟第36位。


杨瀚森的媒体票和球员票均为零,2026年NBA全明星赛首发球员由球迷、现役NBA球员以及媒体评审团共同选出。球迷投票占首发人选评选权重的50%,球员与媒体投票各占25%。所有投票统计完毕后,球员将按照投票群体划分,在东西部两个联盟内分别进行排名。每位球员的最终得分,由其在球迷投票、球员投票和媒体投票中的加权排名取平均值计算得出。
球员得分的权重分配为球迷投票占50%、球员投票占25%、媒体投票占25%,具体计算公式为:(球迷排名×2+球员排名+媒体排名)÷4
杨瀚森的加权得分是66(分越低排名越高,东契奇是1.75),在他后一位是雷霆的卡森-华莱士,在他前一位是鹈鹕的萨迪克-贝。
杨瀚森今日已经被开拓者下放到发展联盟,将继续为混音出战比赛。过去两场发展联盟比赛,杨瀚森场均18分12篮板,分别创得分新高(22)和篮板新高(17)。
相关资讯
- NBA | NBA公布全明星首发:东契奇、库里、文班亚马在列,詹姆斯无缘
- NBA | 杨瀚森全明星票数揭晓!获10.4万票排名第36媒体和球员票均为零
- NBA | 8位中国球员NBA首秀全记录!3人惊艳,1人感到意外
- NBA | 季乐:退役后竟然当交警,曾拿3次CBA总冠军,妻子是宏远啦啦队长
- NBA | 历史首人!詹姆斯常规赛+季后赛迎51000分里程碑基本后无来者
- NBA | 都在憋大招!NBA多支球队在等扬尼斯提出交易申请!
- NBA | 又一次爆砍高分!快船二队锋线新秀最近一段时间的状态明显提升了
- NBA | NBA传闻:热火若交易莫兰特会影响字母哥的追求,则不会交易
- NBA | 又一次打出了高分表现!快船二队强力得分手能否向NBA发起冲击
- NBA | 全明星首发出炉!东契奇票王领衔五大国际巨星库里入选詹杜无缘
最新资讯
- 英超 | 周薪超30万镑!曼城巨大代价签格伊值不值3个理由必须拿下
- 英超 | 热刺官方:本戴维斯将于今日接受左脚踝骨折手术治疗
- 英超 | 英超:维拉01埃弗顿终结主场11连胜,埃梅里采访沉默引热议
- 英超 | 齐沃:阿森纳的角球我们的角球也很强图拉姆能成前十前锋
- 英超 | 首席跟队:热刺紧急召集青训球员加入训练,格雷和贝里瓦尔疑似复出
- 英超 | TA:热刺球迷的心已经完全破碎,不再对弗兰克与球队抱有期待
- 英超 | DO:英超官方挖走热刺高层丽贝卡,她将接任首席足球官
- 英超 | TEAMtalk:利物浦错失盖伊后巴斯托尼、施洛特贝克二选一
- 英超 | 记者:弗拉门戈将再次报价帕奎塔,可能不会比4000万欧高很多
- 欧冠 | 年年说磨合年年拿冠军!今年轮到海港从国安引援了
